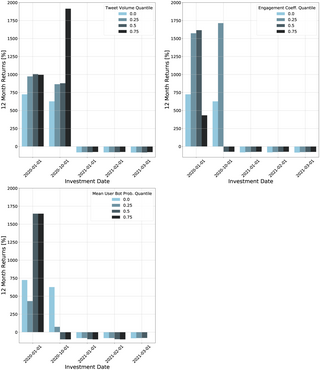
Los estudios indican una correlación significativa entre la participación de una cripto en las redes sociales y su rentabilidad.
Una revelación alarmante del estudio de las criptos y su participación en las redes sociales es la influencia de los bots de Twitter (~15% de los usuarios activos), quienes pueden inflar la popularidad percibida de scams y el dinero que las masas invierten en ellas.
Estos bots generan una ilusión de entusiasmo generalizado, una táctica familiar en los esquemas de pump-and-dump y usada en absolutamente todos los mercados del mundo.
Krypto obtuvo unos rendimientos impresionantes de hasta el 49% al cabo de dos meses, pero luego alcanzó rendimientos negativos.
El coeficiente de compromiso de Krypto era casi un orden de magnitud mayor que el de otros tokens, lo que sugiere una posible interferencia de bots.
El estudio también analizó la prevalencia de la actividad de los bots en los debates, utilizando una herramienta llamada Botometer.
Este algoritmo calcula la probabilidad de que una cuenta de Twitter sea un bot. Las probabilidades medias más altas de bot se asociaron con criptomonedas de menor rendimiento, porque desarrollar una comunidad genuina y real, lleva infinitas veces mayor esfuerzo.
Latte, una criptomoneda DeFi, tuvo la probabilidad media de bot más alta y su precio descendió un 95% en tres meses:

